Przejdź do treści
BHL 8-System
Menu
Strona główna
Produkty
Produkty
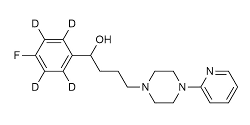
Azaperol-D4
CAS Number
:
-
Order No.
:
TR002
Offer
:
25 mg, 50 mg
SKU:
TR002
Kategoria:
Tranquilizer
Nazwa Chemiczna
Szczegółowa nazwa chemiczna
1-(4-Fluoro-phenyl-D4)-4-(4-pyridin-2-yl-piperazin-1-yl)-butan-1-ol
Podobne produkty
Propionylpromazine-D6 hydrochloride
Azaperol
(±)-O-Desmethyl-levomepromazine-D6
Methapyrilene-D6 fumarate
Możesz użyć wyszukiwarki aby znaleźć interesujący cię produkt.
Szukaj
×
Grupy Produktów
Anthelmintica / Flukicides EN
beta-Agonists
Lactam-Antibiotics
Mycotoxins
Nitrofuran Metabolites de
Nitroimidazoles
NSAIDs
Other Products
Pesticides
Plasticizers (Phthalate)
Quinolones
Steroids
Sulfonamides
Tranquilizer