Przejdź do treści
BHL 8-System
Menu
Strona główna
Produkty
Produkty
Meclofenamic acid-13C6
CAS Number
:
-
Order No.
:
NS027
Offer
:
10 mg, 25 mg
SKU:
NS027
Kategoria:
NSAIDs
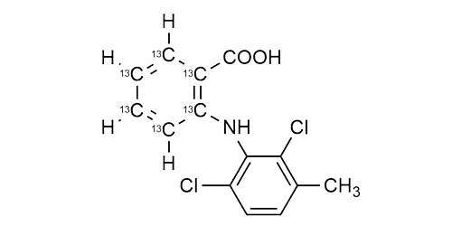
Nazwa Chemiczna
Szczegółowa nazwa chemiczna
2-(2,6-Dichloro-3-methyl-phenylamino)-
13
C
6
-benzoic acid
Podobne produkty
Etoricoxib
Deracoxib-D3
Firocoxib
Piroxicam
Możesz użyć wyszukiwarki aby znaleźć interesujący cię produkt.
Szukaj
×
Grupy Produktów
Anthelmintica / Flukicides EN
beta-Agonists
Lactam-Antibiotics
Mycotoxins
Nitrofuran Metabolites de
Nitroimidazoles
NSAIDs
Other Products
Pesticides
Plasticizers (Phthalate)
Quinolones
Steroids
Sulfonamides
Tranquilizer