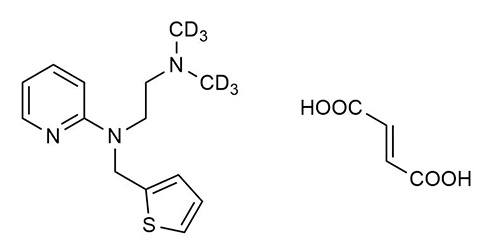
Methapyrilene-D6 fumarate

1613439-61-4

  • CAS Number: 1613439-61-4
  • Order No.: TR023
  • Offer: 25 mg, 50 mg
SKU: TR023 Kategoria:

Szczegółowa nazwa chemiczna

N,N-Dimethyl-D6-N’-(2-pyridyl)-N’-(2-thienylmethyl)-1,2-ethandiamine fumarate